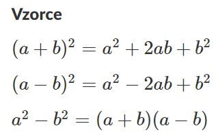
alg.vzorce